A voir également:
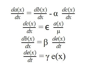
- Résolution d'équations différentielles
- Résolution native ✓ - Forum Vidéo/TV
- Forcer résolution 1920x1080 - Forum Windows 10
- Erreur temporaire de résolution de « deb.debian.org » ✓ - Forum Debian
- Résolution de signal actif - Forum Carte graphique
- Resolution 1366x768 - Forum Téléviseurs

